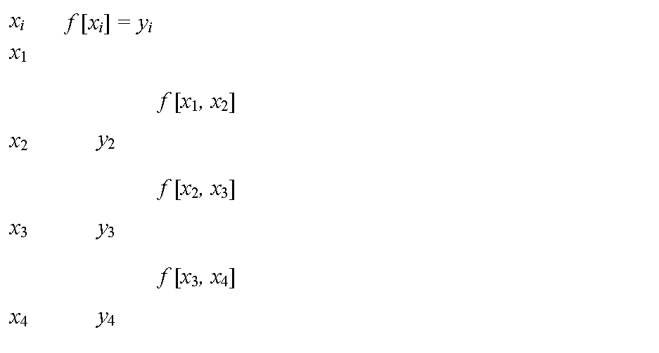
Figure 5. First column completed.

Previous      Next