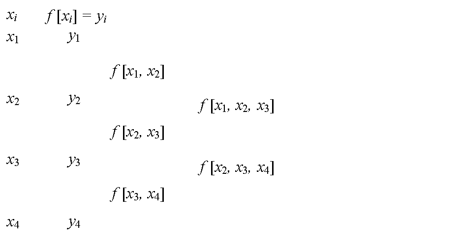
Figure 8. Second column complete.

Previous      Next