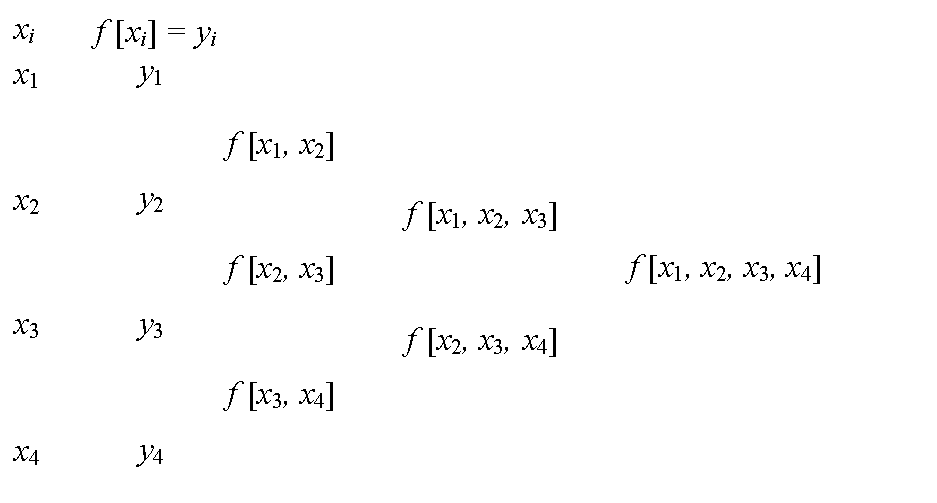
Figure 10. Column 3 complete.

Previous      Next