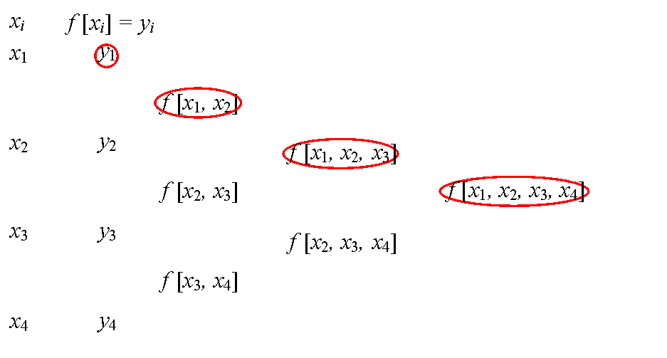
Figure 11. The coefficients of the Newton polynomial are read off the top diagonal.

Previous      Next

The polynomial is p(x) = f[x1] + f[x1, x2](x - x1) + f[x1, x2, x3](x - x1)(x - x2) + f[x1, x2, x3, x4](x - x1)(x - x2)(x - x3).